На информационном ресурсе применяются cookie-файлы. Оставаясь на сайте, вы подтверждаете свое согласие на их использование.
Инга, не забивай свою прелестную кудрявую голову всякой ерундой ))))
Третий день читаю в интернетах, уже глаза на лоб лезут, а понять не могу. Представь. Неужели я так отупела? Или я всегда была такой?
ты гуманитарий (верно же?) - а гуманитарию не обязательно понимать что-то сложнее баланса по банковской карте 

Мне обязательно. Поэтому и жду, что все-таки кто-то объяснит, и уже подозреваю, что тут не знают, придется на вопросы тащиться.
Сейчас читают
Чем Тойота лучше Пежо?
7087
34
Хороший отель в Турции 3*
17265
30
Выбор паркетника
75172
340
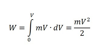
Не слушай всяких дудаков. Энергия и интеграл движения - понятия из фундаментальной физики.
Например, интегральная сумма энергии, высвобождаемой человеческим туловом из совокупной последовательности употребления аддитивных, казалось бы, 1,5L пива, 0,7L вина, 0,25L водки, 0,15 текилы и 0,1 ягермейстера, - в физическом смысле величина абсолютно конкретная.
Но жизнь - она ведь опережает любые мечты и вносит жесткие коррективы. Ну, в смысле - стоит не соблюсти последовательность потребления или, хуже того, начать смешивать - и капец тому тулову. И вся энергия - в лучшем случае в унитаз.
Например, интегральная сумма энергии, высвобождаемой человеческим туловом из совокупной последовательности употребления аддитивных, казалось бы, 1,5L пива, 0,7L вина, 0,25L водки, 0,15 текилы и 0,1 ягермейстера, - в физическом смысле величина абсолютно конкретная.
Но жизнь - она ведь опережает любые мечты и вносит жесткие коррективы. Ну, в смысле - стоит не соблюсти последовательность потребления или, хуже того, начать смешивать - и капец тому тулову. И вся энергия - в лучшем случае в унитаз.

Вот ведь объяснил, а главное - все ж понятно 

Upjohn
универсальный маньяк
Пристраиваю пенсионерку.
Хорошая, качественная шестиструнная акустическая гитара, которую выбирал и покупал преподаватель по классу гитары для своих учеников. На этой гитаре готовились многие годы пацаны 11-14 лет для выступлений на всевозможных конкурсах по городам России. Первые и вторые места - третьих мест не припомню. В самом начале, пока не позволяли средства и пока гитара была молода, на ней и участвовали в конкурсах (потом купили мастерскую гитару). Голос отличный, но требует ухода. Мне досталась по наследству. Но я уже не играю, а мой сын предпочитает электрогитары. Отдам по моему усмотрению хорошему человеку вместе с чехлом, как есть. Не протирал и не чистил, струны вижу надо будет поменять. Писать в приват.
Хорошая, качественная шестиструнная акустическая гитара, которую выбирал и покупал преподаватель по классу гитары для своих учеников. На этой гитаре готовились многие годы пацаны 11-14 лет для выступлений на всевозможных конкурсах по городам России. Первые и вторые места - третьих мест не припомню. В самом начале, пока не позволяли средства и пока гитара была молода, на ней и участвовали в конкурсах (потом купили мастерскую гитару). Голос отличный, но требует ухода. Мне досталась по наследству. Но я уже не играю, а мой сын предпочитает электрогитары. Отдам по моему усмотрению хорошему человеку вместе с чехлом, как есть. Не протирал и не чистил, струны вижу надо будет поменять. Писать в приват.
Кью
old hamster
кто подскажет, где продают палочки для мороженого?
Можно прямо в киоске попросить - нам как-то дали пучок и бесплатно.
ню... и шо? я тож это нашла... но палочек для мороженого на этих сайтах нет... есть для леденцов и для шоколадных фигурок... а у них профиль не торт
У меня есть 6 или 8 коробок гроспирона... и в каждой по 2 палочки. Могу отдать.
По форумам ещё советуют (помимо совета обирать супермаркеты с мороженым в стаканчиках) одноразовые лор-шпатели.
Тогда только так. Я правильно понимаю, что пластиковые не интересны?
понимаешь правильно... но под НГ из Китая посылка приедет не скоро... а надо завтра...
че-та как-то тырить палочки в магазинах мне подходит...
все ближайшие аптеки уже обошла... лор-палочек нет...
а деревянные линейки толстоваты... ((((
все ближайшие аптеки уже обошла... лор-палочек нет...
а деревянные линейки толстоваты... ((((
Тогда берите какого-нибудь мелкого, и пусть он с выражением "по приютам я с детства скитался, не имея родного угла" просит у тети-мороженщицы палочек для подделок на урок труда 

в хитеках шпатели для нанесения депиляторов
размером как лоршпатели, по качеству как деревянные палочки для мороженого
вот
размером как лоршпатели, по качеству как деревянные палочки для мороженого
вот
А как быстро тебе надо? В Шаклине они в наличии, но не вижу цен без логина, а я его не помню, могу только в понедельник посмотреть. Упаковку я тебе с заказом ближайшим взять могу, если несколько дней терпит.
в хитеках шпатели для нанесения депиляторов



не... они нужны были еще вчера...
пойду завтра за мороженым...
я думала, может кто видел упаковки в магазинчиках "тара и упаковка"... раньше там продавали...
и еще бывают в магазинах для поделок
пойду завтра за мороженым...
я думала, может кто видел упаковки в магазинчиках "тара и упаковка"... раньше там продавали...
и еще бывают в магазинах для поделок
ну да
так-то лучше лоршпателями мороженое есть
думаю, что что Кью это не для мороженого нужно
так-то лучше лоршпателями мороженое есть
думаю, что что Кью это не для мороженого нужно
так я про деревянные и говорю
ты читаешь?
всё
молчу
-= по качеству как деревянные палочки для мороженого=-
не понимаю, какими могут быть не деревянными деревянные палочки
ты читаешь?
всё
молчу
-= по качеству как деревянные палочки для мороженого=-
не понимаю, какими могут быть не деревянными деревянные палочки
Я наивно полагала, что именно для этого.



вроде всё читаю... а ссылка твоя битая какая-то... там на иностранном всё...
набрать шпатель для нанесения воска? +хитек
web-страница
web-страница
ну вот и хорошо
тебя она услышит и проблему свою решит
пошла свой фильм филиппинский смотреть дальше
тебя она услышит и проблему свою решит
пошла свой фильм филиппинский смотреть дальше
спасибо!
заодно узнала, что такое "хитек"
* зачем же обо мне в третьем лице... я ж еще здесь... (((
заодно узнала, что такое "хитек"

* зачем же обо мне в третьем лице... я ж еще здесь... (((
Тебя она тоже услышала, просто по ссылке не поняла, потому что про Хитэк не знала, а я там бываю иногда. ))
в метро я карточку потеряла... растяпа... ((((
вобщем, для срочности 4 порции мороженого придется сожрать... (или оставить брикеты без палочек для гостей)...
а потом я заеду в хитек и куплю огромную пачку! чтоб было!
а потом я заеду в хитек и куплю огромную пачку! чтоб было!
Тебе помощь не нужна в поедании? *беспокоясь за горло* )
этот вопрос уже не в "пользе" нужно обсуждать... 

У меня этих палочек уже десятка три. Собираю для внучки на поделки, могла бы поделиться, чтобы ты мороженое не уничтожала)) Но как их тебе вручить? Через монитор не передашь. Тебе сколько надо?
О! Недавно в Икее мы такими мешали чай и кофе. Тоже притащила оттуда более десятка) Они чуть толще обычных мороженных
О! Недавно в Икее мы такими мешали чай и кофе. Тоже притащила оттуда более десятка) Они чуть толще обычных мороженных
подскажи Кью, что в Кузине можно спереть
купить кофе одну порцию, а на стойке этих палочек взять с десяток
только они длиннее и тоньше привычных
купить кофе одну порцию, а на стойке этих палочек взять с десяток
только они длиннее и тоньше привычных
"спереть" мне не подходит... ну не могу я! если из моей крови сделать вакцину и делать прививку ворам-рецидивистам, то тюрьмы опустеют...
Кью!
Ну "спереть" это же условно!
Никто же не предлагает щемиться в угол и в момент, когда бариста отвлекся, мгновенно кидаться к стойке, хватать палки и с криком ю-хху убегать из Кузины!
Приходишь в Кузину, покупаешь кофе. Пока заказываешь, пока рассчитываешься - заводишь приятную беседу про близкий НГ, про погоду, и ещё какие-нибудь приятные вещи. Потом берешь кофе, подходишь к стойке его размешать и обнаруживаешь там палочки. Радуешься. Спрашиваешь бариста, а можно ли тебе взять целых 10? ты так долго искала что-то подобное, и тебе срочно нужно, а тут вот они...И это как маленькое чудо на НГ для тебя. и лицо, как у шрекова осла...
Ну "спереть" это же условно!
Никто же не предлагает щемиться в угол и в момент, когда бариста отвлекся, мгновенно кидаться к стойке, хватать палки и с криком ю-хху убегать из Кузины!
Приходишь в Кузину, покупаешь кофе. Пока заказываешь, пока рассчитываешься - заводишь приятную беседу про близкий НГ, про погоду, и ещё какие-нибудь приятные вещи. Потом берешь кофе, подходишь к стойке его размешать и обнаруживаешь там палочки. Радуешься. Спрашиваешь бариста, а можно ли тебе взять целых 10? ты так долго искала что-то подобное, и тебе срочно нужно, а тут вот они...И это как маленькое чудо на НГ для тебя. и лицо, как у шрекова осла...
кота. у осла физиономия была предебильная
а вообще можно и не делать таких длинных заходов. зашла. улыбнулась, спросила.
а вообще можно и не делать таких длинных заходов. зашла. улыбнулась, спросила.
Мишель
Эмпат
У меня вопрос к знатокам интернет-покупок.
Тут есть завсегдатаи торговой площадки Aliexpress?
Дело в том, что там есть очень удобная фишка AliPay - забиваешь реквизиты своей карточки, система запоминает и в дальнейшем, при покупках, остаётся только щёлкать по клавише "оплатить", ни номера, ни фамилии, ни кода - ничего не нужно вбивать, даже код по СМС-ке не приходит. Щёлк! и уже оплачено.
Оно, конечно, удобно, и сайт говорит, что вернет ВСЕ деньги в случае несанкционированных транзакций.
Но что-то меня грызут смутные сомнения, не слишком ли это рискованно?
Кто из вас пользует AliPay и как долго?
Тут есть завсегдатаи торговой площадки Aliexpress?
Дело в том, что там есть очень удобная фишка AliPay - забиваешь реквизиты своей карточки, система запоминает и в дальнейшем, при покупках, остаётся только щёлкать по клавише "оплатить", ни номера, ни фамилии, ни кода - ничего не нужно вбивать, даже код по СМС-ке не приходит. Щёлк! и уже оплачено.
Оно, конечно, удобно, и сайт говорит, что вернет ВСЕ деньги в случае несанкционированных транзакций.
Но что-то меня грызут смутные сомнения, не слишком ли это рискованно?
Кто из вас пользует AliPay и как долго?
РахатЛукум
veteran
зачётная корзина !
унесёшь ли ? *с сомнением так* 


Мишель
Эмпат
Да я туда кидаю всё что нужно и может подождать, не к спеху. А потом жду скидок, краем глаза. Вижу большую скидку - покупаю. Намой сотик, например, скидка была тыщи в полторы.
А по существу вопроса, что скажешь? На твоём ебее есть такая система ЕбейПай или нет? ты ей пользуешься?
А по существу вопроса, что скажешь? На твоём ебее есть такая система ЕбейПай или нет? ты ей пользуешься?
РахатЛукум
veteran
да ,есть такая система оплаты PayPal и я ей пользуюсь давно и успешно ...
не вижу никаких проблем с расчётами .
правда один раз не было возврата на карту ,но там был спорный вопрос с продавцом ,но так как сумма была небольшая ,я не стал подавать апелляцию.
не вижу никаких проблем с расчётами .
правда один раз не было возврата на карту ,но там был спорный вопрос с продавцом ,но так как сумма была небольшая ,я не стал подавать апелляцию.
ТОП 5
3
4